| 今天我们来看一个小众需求:自定义优化器。 细想之下,不管用什么框架,自定义优化器这个需求可谓真的是小众中的小众。一般而言,对于大多数任务我们都可以无脑地直接上 Adam,而调参炼丹高手一般会用 SGD 来调出更好的效果,换言之不管是高手新手,都很少会有自定义优化器的需求。 那这篇文章还有什么价值呢?有些场景下会有一点点作用。比如通过学习 Keras 中的优化器写法,你可以对梯度下降等算法有进一步的认识,你还可以顺带看到 Keras 的源码是多么简洁优雅。 此外,有时候我们可以通过自定义优化器来实现自己的一些功能,比如给一些简单的模型(例如 Word2Vec)重写优化器(直接写死梯度,而不是用自动求导),可以使得算法更快;自定义优化器还可以实现诸如"软 batch"的功能。 Keras优化器我们首先来看 Keras 中自带优化器的代码,位于: https://ift.tt/2oVRN2M 简单起见,我们可以先挑 SGD 来看。当然,Keras 中的 SGD 算法已经把 momentum、nesterov、decay 等整合进去了,这使用起来方便,但不利于学习。所以我稍微简化了一下,给出一个纯粹的 SGD 算法的例子: from keras.legacy import interfaces from keras.optimizers import Optimizer from keras import backend as K class SGD(Optimizer): """Keras中简单自定义SGD优化器 """ def __init__(self, lr=0.01, **kwargs): super(SGD, self).__init__(**kwargs) with K.name_scope(self.__class__.__name__): self.iterations = K.variable(0, dtype='int64', name='iterations') self.lr = K.variable(lr, name='lr') @interfaces.legacy_get_updates_support def get_updates(self, loss, params): """主要的参数更新算法 """ grads = self.get_gradients(loss, params) # 获取梯度 self.updates = [K.update_add(self.iterations, 1)] # 定义赋值算子集合 self.weights = [self.iterations] # 优化器带来的权重,在保存模型时会被保存 for p, g in zip(params, grads): # 梯度下降 new_p = p - self.lr * g # 如果有约束,对参数加上约束 if getattr(p, 'constraint', None) is not None: new_p = p.constraint(new_p) # 添加赋值 self.updates.append(K.update(p, new_p)) return self.updates def get_config(self): config = {'lr': float(K.get_value(self.lr))} base_config = super(SGD, self).get_config() return dict(list(base_config.items()) + list(config.items()))
应该不是解释了吧?有没有特别简单的感觉?定义一个优化器也不是特别高大上的事情。 实现"软batch" 现在来实现一个稍微复杂一点的功能,就是所谓的"软 batch",不过我不大清楚是不是就叫这个名字,姑且先这样叫着吧。大概的场景是:假如模型比较庞大,自己的显卡最多也就能跑 batch size=16,但我又想起到 batch size=64 的效果,那可以怎么办呢? 一种可以考虑的方案是,每次算 batch size=16,然后把梯度缓存起来,4 个 batch 后才更新参数。也就是说,每个小 batch 都算梯度,但每 4 个 batch 才更新一次参数。 class MySGD(Optimizer): """Keras中简单自定义SGD优化器 每隔一定的batch才更新一次参数 """ def __init__(self, lr=0.01, steps_per_update=1, **kwargs): super(MySGD, self).__init__(**kwargs) with K.name_scope(self.__class__.__name__): self.iterations = K.variable(0, dtype='int64', name='iterations') self.lr = K.variable(lr, name='lr') self.steps_per_update = steps_per_update # 多少batch才更新一次 @interfaces.legacy_get_updates_support def get_updates(self, loss, params): """主要的参数更新算法 """ shapes = [K.int_shape(p) for p in params] sum_grads = [K.zeros(shape) for shape in shapes] # 平均梯度,用来梯度下降 grads = self.get_gradients(loss, params) # 当前batch梯度 self.updates = [K.update_add(self.iterations, 1)] # 定义赋值算子集合 self.weights = [self.iterations] + sum_grads # 优化器带来的权重,在保存模型时会被保存 for p, g, sg in zip(params, grads, sum_grads): # 梯度下降 new_p = p - self.lr * sg / float(self.steps_per_update) # 如果有约束,对参数加上约束 if getattr(p, 'constraint', None) is not None: new_p = p.constraint(new_p) cond = K.equal(self.iterations % self.steps_per_update, 0) # 满足条件才更新参数 self.updates.append(K.switch(cond, K.update(p, new_p), p)) # 满足条件就要重新累积,不满足条件直接累积 self.updates.append(K.switch(cond, K.update(sg, g), K.update(sg, sg+g))) return self.updates def get_config(self): config = {'lr': float(K.get_value(self.lr)), 'steps_per_update': self.steps_per_update} base_config = super(MySGD, self).get_config() return dict(list(base_config.items()) + list(config.items()))
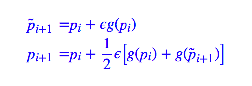
应该也很容易理解吧。如果带有动量的情况,写起来复杂一点,但也是一样的。重点就是引入多一个变量来储存累积梯度,然后引入 cond 来控制是否更新,原来优化器要做的事情,都要在 cond 为 True 的情况下才做(梯度改为累积起来的梯度)。对比原始的 SGD,改动并不大。 "侵入式"优化器上面实现优化器的方案是标准的,也就是按 Keras 的设计规范来做的,所以做起来很轻松。然而我曾经想要实现的一个优化器,却不能用这种方式来实现,经过阅读源码,得到了一种"侵入式"的写法,这种写法类似"外挂"的形式,可以实现我需要的功能,但不是标准的写法,在此也跟大家分享一下。 原始需求来源于之前的文章从动力学角度看优化算法SGD:一些小启示,里边指出梯度下降优化器可以看成是微分方程组的欧拉解法,进一步可以联想到,微分方程组有很多比欧拉解法更高级的解法呀,能不能用到深度学习中?比如稍微高级一点的有"Heun 方法 [1]": 
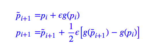
其中 p 是参数(向量),g 是梯度,pi 表示 p 的第 i 次迭代时的结果。这个算法需要走两步,大概意思就是普通的梯度下降先走一步(探路),然后根据探路的结果取平均,得到更精准的步伐,等价地可以改写为: 
这样就清楚显示出后面这一步实际上是对梯度下降的微调。 但是实现这类算法却有个难题,要计算两次梯度,一次对参数 g(pi),另一次对参数 p̃i+1。而前面的优化器定义中 get_updates 这个方法却只能执行一步(对应到 tf 框架中,就是执行一步 sess.run,熟悉 tf 的朋友知道单单执行一步 sess.run 很难实现这个需求),因此实现不了这种算法。 经过研究 Keras 模型的训练源码,我发现可以这样写: class HeunOptimizer: """自定义Keras的侵入式优化器 """ def __init__(self, lr): self.lr = lr def __call__(self, model): """需要传入模型,直接修改模型的训练函数,而不按常规流程使用优化器,所以称为"侵入式" 其实下面的大部分代码,都是直接抄自keras的源码: https://github.com/keras-team/keras/blob/master/keras/engine/training.py#L491 也就是keras中的_make_train_function函数。 """ params = model._collected_trainable_weights loss = model.total_loss inputs = (model._feed_inputs + model._feed_targets + model._feed_sample_weights) inputs += [K.learning_phase()] with K.name_scope('training'): with K.name_scope('heun_optimizer'): old_grads = [[K.zeros(K.int_shape(p)) for p in params]] update_functions = [] for i,step in enumerate([self.step1, self.step2]): updates = (model.updates + step(loss, params, old_grads) + model.metrics_updates) # 给每一步定义一个K.function updates = K.function(inputs, [model.total_loss] + model.metrics_tensors, updates=updates, name='train_function_%s'%i, **model._function_kwargs) update_functions.append(updates) def F(ins): # 将多个K.function封装为一个单独的函数 # 一个K.function就是一次sess.run for f in update_functions: _ = f(ins) return _ # 最后只需要将model的train_function属性改为对应的函数 model.train_function = F def step1(self, loss, params, old_grads): ops = [] grads = K.gradients(loss, params) for p,g,og in zip(params, grads, old_grads[0]): ops.append(K.update(og, g)) ops.append(K.update(p, p - self.lr * g)) return ops def step2(self, loss, params, old_grads): ops = [] grads = K.gradients(loss, params) for p,g,og in zip(params, grads, old_grads[0]): ops.append(K.update(p, p - 0.5 * self.lr * (g - og))) return ops
用法是: opt = HeunOptimizer(0.1) opt(model) model.fit(x_train, y_train, epochs=100, batch_size=32)
其中关键思想在代码中已经注释了,主要是 Keras 的优化器最终都会被包装为一个 train_function,所以我们只需要参照 Keras 的源码设计好 train_function,并在其中插入我们自己的操作。在这个过程中,需要留意到 K.function 所定义的操作相当于一次 sess.run 就行了。 注:类似地还可以实现 RK23、RK45 等算法。遗憾的是,这种优化器缺很容易过拟合,也就是很容易将训练集的 loss 降到很低,但是验证集的 loss 和准确率都很差。 优雅的Keras本文讲了一个非常非常小众的需求:自定义优化器,介绍了一般情况下 Keras 优化器的写法,以及一种"侵入式"的写法。如果真有这么个特殊需求,可以参考使用。 通过 Keras 中优化器的分析研究,我们进一步可以观察到 Keras 整体代码实在是非常简洁优雅,难以挑剔。 参考文献[1]. https://ift.tt/2OaxV7f ]]> 原文: https://ift.tt/2oXRgNJ |
没有评论:
发表评论