2020年9月27日星期日

不要小看树模型

选自towardsdatascience
作者:Andre Ye
机器之心编译

编辑:陈萍
树模型和神经网络,像一枚硬币的两面。在某些情况下,树模型的性能甚至优于神经网络。
由于神经网络的复杂性,它们常常被认为是解决所有机器学习问题的「圣杯」。而另一方面,基于树的方法并未得到同等重视,主要原因在于这类算法看起来很简单。然而,这两种算法看似不同,却像一枚硬币的正反面,都很重要。
树模型 VS 神经网络
基于树的方法通常优于神经网络。本质上,将基于树的方法和基于神经网络的方法放在同一个类别中是因为,它们都通过逐步解构来处理问题,而不是像支持向量机或 Logistic 回归那样通过复杂边界来分割整个数据集。
很明显,基于树的方法沿着不同的特征逐步分割特征空间,以优化信息增益。不那么明显的是,神经网络也以类似的方式处理任务。每个神经元监视特征空间的一个特定部分(存在多种重叠)。当输入进入该空间时,某些神经元就会被激活。
神经网络以概率的视角看待这种逐段模型拟合 (piece-by-piece model fitting),而基于树的方法则采用确定性的视角。不管怎样,这两者的性能都依赖于模型的深度,因为它们的组件与特征空间的各个部分存在关联。
包含太多组件的模型(对于树模型而言是节点,对于神经网络则是神经元)会过拟合,而组件太少的模型根本无法给出有意义的预测。(二者最开始都是记忆数据点,而不是学习泛化。)
要想更直观地了解神经网络是如何分割特征空间的,可阅读这篇介绍通用近似定理的文章:https://medium.com/analytics-vidhya/you-dont-understand-neural-networks-until-you-understand-the-universal-approximation-theory-85b3e7677126。
虽然决策树有许多强大的变体,如随机森林、梯度提升、AdaBoost 和深度森林,但一般来说,基于树的方法本质上是神经网络的简化版本。
  • 基于树的方法通过垂直线和水平线逐段解决问题,以最小化熵(优化器和损失)。神经网络通过激活函数来逐段解决问题。
  • 基于树的方法是确定性的,而不是概率性的。这带来了一些不错的简化,如自动特征选择。
  • 决策树中被激活的条件节点类似于神经网络中被激活的神经元(信息流)。
  • 神经网络通过拟合参数对输入进行变换,间接指导后续神经元的激活。决策树则显式地拟合参数来指导信息流。(这是确定性与概率性相对应的结果。)
信息在两个模型中的流动相似,只是在树模型中的流动方式更简单。
树模型的 1 和 0 选择 VS 神经网络的概率选择
当然,这是一个抽象的结论,甚至可能是有争议的。诚然,建立这种联系有许多障碍。不管怎样,这是理解基于树的方法何时以及为什么优于神经网络的重要部分。
对于决策树而言,处理表格或表格形式的结构化数据是很自然的。大多数人都同意用神经网络执行表格数据的回归和预测属于大材小用,所以这里做了一些简化。选择 1 和 0,而不是概率,是这两种算法之间差异的主要根源。因此,基于树的方法可成功应用于不需要概率的情况,如结构化数据。
例如,基于树的方法在 MNIST 数据集上表现出很好的性能,因为每个数字都有几个基本特征。不需要计算概率,这个问题也不是很复杂,这就是为什么设计良好的树集成模型性能可以媲美现代卷积神经网络,甚至更好。
通常,人们倾向于说「基于树的方法只是记住了规则」,这种说法是对的。神经网络也是一样,只不过它能记住更复杂的、基于概率的规则。神经网络并非显式地对 x>3 这样的条件给出真 / 假的预测,而是将输入放大到一个很高的值,从而得到 sigmoid 值 1 或生成连续表达式。
另一方面,由于神经网络非常复杂,因此使用它们可以做很多事情。卷积层和循环层都是神经网络的杰出变体,因为它们处理的数据往往需要概率计算的细微差别。
很少有图像可以用 1 和 0 建模。决策树值不能处理具有许多中间值(例如 0.5)的数据集,这就是它在 MNIST 数据集上表现很好的原因,在 MNIST 中,像素值几乎都是黑色或白色,但其他数据集的像素值不是(例如 ImageNet)。类似地,文本有太多的信息和太多的异常,无法用确定性的术语来表达。
这也是神经网络主要用于这些领域的原因,也是神经网络研究在早期(21 世纪初之前)停滞不前的原因,当时无法获得大量图像和文本数据。神经网络的其他常见用途仅限于大规模预测,比如 YouTube 视频推荐算法,其规模非常大,必须用到概率。
任何公司的数据科学团队可能都会使用基于树的模型,而不是神经网络,除非他们正在建造一个重型应用,比如模糊 Zoom 视频的背景。但在日常业务分类任务上,基于树的方法因其确定性特质,使这些任务变得轻量级,其方法与神经网络相同。
在许多实际情况下,确定性建模比概率建模更自然。例如,预测用户是否从某电商网站购买一样商品,这时树模型是很好的选择,因为用户天然地遵循基于规则的决策过程。用户的决策过程可能看起来像这样:
  1. 我以前在这个平台上有过愉快的购物经历吗?如果有,继续。
  2. 我现在需要这件商品吗?(例如,冬天我应该买太阳镜和泳裤吗?)如果是,继续。
  3. 根据我的用户统计信息,这是我有兴趣购买的产品吗?如果是,继续。
  4. 这个东西太贵吗?如果没有,继续。
  5. 其他顾客对这个产品的评价是否足够高,让我可以放心地购买它?如果是,继续。
一般来说,人类遵循基于规则和结构化的决策过程。在这些情况下,概率建模是不必要的。
结论
  • 最好将基于树的方法视为神经网络的缩小版本,以更简单的方式进行特征分类、优化、信息流传递等。
  • 基于树的方法和神经网络方法在用途的主要区别在于确定性(0/1)与概率性数据结构。使用确定性模型可以更好地对结构化(表格)数据进行建模。
  • 不要低估树方法的威力。
参考链接:https://ift.tt/3hgESBl
如何根据任务需求搭配恰当类型的数据库?
在AWS推出的白皮书《进入专用数据库时代》中,介绍了8种数据库类型:关系、键值、文档、内存中、关系图、时间序列、分类账、领域宽列,并逐一分析了每种类型的优势、挑战与主要使用案例。
点击阅读原文识别二维码,申请免费获取白皮书。
© THE END 
转载请联系本公众号获得授权
投稿或寻求报道:content@jiqizhixin.com
继续阅读


source http://posts.careerengine.us/p/5f716e10e8df4952422eea7d

JetBrains 2020 Java调查报告:中国开发者使用比例最高,Java 8最受欢迎

选自JetBrains Blog
作者Valeriia Karpenko
机器之心编译
编辑:杜伟、陈萍
Java 自推出以来,一直深受专业开发者的喜爱,成为一种不可或缺的编程语言。在即将结束的 2020 年里,Java 语言处于一种怎样的发展状态呢?近日,JetBrains 撰文从 Java 开发者地域分布、行业分布以及 Java 工具分析等几个视角全方位地分析了 Java 语言的开发现状。
Java 语言于 1995 年由 Oracle 公司开发,距今已有 25 年的时间了。Java 是一种广泛使用的计算机编程语言,拥有跨平台、面向对象、泛型编程等特性,广泛应用于企业级 Web 应用开发和移动应用开发。在众多编程语言中,Java 语言始终保持了强劲的发展势头。
今年 7 月份,IEEE 发布了 2020 年度编程语言排行榜,Java 位列整体榜单第二。此外,在开源项目最受欢迎和工作环境中需求最大的编程语言分榜单中,Java 也分列二、三名。
目前,Java 已经于 9 月 15 日更新了 15 版本。用户或许想要深入了解 Java 当前的开发状况,所以捷克软件开发公司、Java 编程语言开发撰写时所用集成开发环境 IntelliJ IDEA 的创建者 JetBrains 撰文详细介绍了 Java 的发展现状,包括 Java 使用地域分布、Java 行业分布、Java 工具分析等。
需要指出的是,本文中 Java 语言各项指标的调研结果基于 JetBrains 更早之前发布的《The State of Developer Ecosystem Survey 2018/2020》,想要了解详情的读者可以查阅原始链接。
  • 2018 年开发者生态系统调查报告地址:https://ift.tt/2lyDfED
  • 2020 年开发者生态系统调查报告地址:https://ift.tt/37gTrBu
接下来详细解读 2020 年 Java 语言的发展现状。
Java 开发者地域分布:集中在亚洲,中韩比例最高
很多人会问:「Java 开发者最多的地区在哪里,又有多少人呢?」。JetBrains 数据分析显示, 当前全世界大约有 520 万名专业开发者使用 Java 作为主要语言。但如果把主要使用其他编程语言但同时也会使用 Java 的专业开发者计算在内,这个数字可能会接近 680 万。
Java 开发者最集中的区域是亚洲,大约有 250 万开发者使用 Java 作为他们的主要语言。北美和欧洲的数字远不及亚洲。你可能会问:「这是为什么呢?」。所以,为了更进一步弄清楚这些数据产生的原因,JetBrains 研究了 Java 开发者最多的各个国家,然后调查了为什么这些国家在专业编程开发中特别喜欢 Java 而不是其他语言。
下图显示了每个国家使用 Java 作为主要语言的开发者百分比(用于收集此数据的受访者最多可以选择 3 种主要语言)。其中,中国和韩国使用 Java 的比例最高,分别为 51% 和 50%。数据主要来自 2020 年的调查报告。
Java 在专业开发者中的使用情况
2020 年的数据显示,超过三分之一的专业开发者使用 Java 作为他们的主要语言,并且 Java 在专业开发者心目中仍然是仅次于 JavaScript 的第二种主要语言。
使用 Java 语言开发的软件类型
下图展示了使用 Java 语言开发的软件类型,包括 web 服务、实用工具(Utility )、数据库等,其中在 web 服务中最流行使用 Java 语言,占比 52%。数据主要来自 2020 年调查报告。
使用 Java 语言最多的行业
现在清楚了为何这么多专业开发者使用 Java,Java 语言又在哪些行业中广泛使用呢?
2020 年的数据显示,Java 程序员主要分布在 IT 行业(42%)、金融以及金融科技(44%),但这并不意味着 Java 在其他行业没有使用。
Java 工具
Java 版本受欢迎程度
2020 年的数据显示,Java 8 仍然是最流行的版本。75% 的专业开发人员使用 Java 8 作为其主要编程语言。下图显示了 2020 年 Java 各个版本的受欢迎程度。可以清楚地看到,Java 8 的受欢迎程度远远领先于其他版本。
Java 流行的应用服务器
根据 2018 和 2020 年的数据显示,在过去的 3 年里,Apache Tomcat 一直是最受欢迎的应用服务器,而 JBoss EAP 和 WildFly 的使用量则减少了一半。
Top 5 web 框架
2018 年的数据显示,Spring Boot 和 Spring MVC 一样流行,而 2020 年的数据显示 Spring Boot 更加流行。数据来自所有使用 Java 作为主要语言的开发者。由下图可知,2020 年 Top 5 的 web 框架依次为 Spring Boot、Spring MVC、JSF、Struts 2 和 Strut 1。
Top-5 JVM Profiler
2020 年的数据显示, 24% 的用户使用 VisualVM ,其他用户使用 JProfiler、Java Mission Control、NetBeans profiler 和 YourKit。数据来自所有使用 Java 作为主要语言的开发者。
Top-5 IDE / 编辑器
根据 2018 年和 2020 年的数据显示,IntelliJ IDEA 的使用量从 2018 年的 55% 增加到 2020 年的 72%,而 Eclipse or Eclipse-based、Android Studio、VS Code 以及 NetBeans 使用量相应减少了。
与 Java 相关的其他主题
讨论最多的 Java 工具和其他语言
在 Stack Overflow 等 IT 社区中常常谈到 Java。JetBrains 从 stack overflow 社区的问答版本中提取数据,从而找出出现最多的「Java」标签。结果如下图所示,纵轴表示提及 Java 的标签,横轴表示标签出现的总数。
Java 社区的热门话题
以下是 Java 用户在 Reddit 上讨论最多的主题,排名第一的问题是:现在学习 Java 语言是一个好的选择吗?(Is Java a good language to learn today?)
原文链接:https://ift.tt/2RNA2Bf
如何根据任务需求搭配恰当类型的数据库?
在AWS推出的白皮书《进入专用数据库时代》中,介绍了8种数据库类型:关系、键值、文档、内存中、关系图、时间序列、分类账、领域宽列,并逐一分析了每种类型的优势、挑战与主要使用案例。
点击阅读原文识别二维码,申请免费获取白皮书。
© THE END 
转载请联系本公众号获得授权
投稿或寻求报道:content@jiqizhixin.com
继续阅读


source http://posts.careerengine.us/p/5f716dfe256d7951f59b8c49

毕业一年多被裁,没有计算机文凭,我在两个月内搞定4份Offer,且收入翻倍

选自towardsdatascience
作者Emma Ding
机器之心编译
机器之心编辑部
裁员往往来得猝不及防,被重新丢回求职市场才发现自己还不具备竞争优势,这是很多人近期面临的窘境。但两个月拿到四份数据科学 Offer 的 Emma Ding 告诉我们,只要有针对性地认真准备,逆风翻盘也不是不可能。
遭上家公司辞退,花两个月拿到四个 offer,还实现收入翻倍,这很难吗?现任 Airbnb 软件工程师的 Emma Ding 介绍了她的经验,说不定可以帮助到近期正在找工作的人。
如果你在疫情期间被裁员或者你是数据科学领域的求职者,你一定能从这篇文章的某些部分找到共鸣。以下是 Emma Ding 的自述:
被解雇
2018 年 12 月,我被告知自己将在 2019 年 1 月被解雇。而就在三个月前,公司的工程副总裁在给 People Success 主管的信中表示,我是公司表现最好的人之一,并主张给我涨薪。这使得我的工资提高了 33%。正因如此,我在工作方面变得更有动力,渴望在新的项目上获得更大的进步。
我以为:「公司的未来以及我自己的前途一片光明」。
但就在这时,一个消息如晴天霹雳:「受公司缩减成本计划的影响,我将在 1 月 15 日被辞退。」
被迫寻找新工作是一件很艰难的事情。浏览了市场上的数据科学岗之后,我很快意识到我与别人在知识方面的差距。我之前在 B2B 初创公司所做的工作仅涉及入门水平的数据工程和机器学习。这与许多工作要求毫无关联,如产品嗅觉(product sense)、SQL、统计等。我具备一些基础知识,但不知道如何补充更高级的技能。
但是,还有比这更严峻的问题:我去哪儿找面试机会?我在初创公司只有一年半的工作经验,还没有统计学或计算机科学相关的学位。
随之而来的是一系列问题:失去签证身份之前找不到工作怎么办?找到新工作之前出现经济下行怎么办?尽管有那么多忧虑,但除了找到一份新工作,我别无选择。
准备搜索职位
面对艰巨的求职任务,我需要一些信息来决定下一步做什么。经过研究,我发现市场上一半以上的数据科学职位是产品驱动职位(「产品分析」),其余的与建模或数据工程有关。我还注意到,非产品分析的职位往往要求更高。例如,大多数建模职位需要博士学位,工程职位需要计算机科学背景。显然,不同职位的需求差异很大,因此要有针对性地进行准备。
了解到这些之后,我做出了一个重要的决定:为所有类型的职位做准备任务量太大,而且很可能效率不高,我需要专注于一类职位
我选择了产品分析,因为根据我的背景和经验,我更有可能获得这类职位的面试机会。当然,并不是每个数据科学领域的人都和我有一样的背景和经验,因此我总结了在大公司中这三类数据科学职位的通用要求。这些信息为我节省了大量时间,我认为它对正在寻找数据科学工作的其他人也有用处。但在此我要补充说明一点,对于小型初创公司而言,面试的情况可能有所不同,或许需要将三类职位所需的知识结合起来。
产品分析(约占市场职位的 70%)
  • 要求:具备产品上线的实践经验、敏锐的商业头脑、优秀的 SQL 技能。
  • 示例:Airbnb 数据科学家(分析师方向)、Lyft 数据科学家、Facebook 数据科学家、Google 产品分析师。
建模(约占市场职位的 20%)
  • 要求:掌握机器学习知识(不仅包括如何使用机器学习,还包括基础数学和理论)、强大的编程能力。
  • 示例:Lyft 数据科学家(算法方向)、Airbnb 数据科学家(算法方向)、亚马逊应用科学家、Facebook 研究科学家。
数据工程(约占市场职位的 10%)
  • 要求:掌握数据工程技能的端到端数据科学家、了解分布式系统、会使用 MapReduce 和 Spark、有 Spark 的实践操作经验、强大的编程能力。
  • 示例:Airbnb 数据科学家(基础研究)、初创公司的数据科学家。
开始求职
在知道自己要被解雇时,我做的第一件事就是广泛并积极地寻找新职位。我用到了我所知道的所有求职平台,包括 GlassDoor、Indeed 和领英,还向认识的每个人寻求工作推荐机会。但是,当时正是年底,一直到 2019 年 1 月我都没有收到任何回应。
事实证明,被人举荐要比自己寻找职位效率高得多。在大约 50 个面试申请中,我只得到了 3 个面试机会,而在 18 个工作推荐中,我获得了 7 个面试机会。显然,总体来讲,我在求职市场上没有什么竞争力。
面试:概况
尽管每个公司的面试结构不同,但是大多数公司遵循以下流程:
  • 招聘人员首先会给你打个电话;
  • 1-2 轮电话面试(TPS)或 take-home assignment;
  • 4-5 小时的现场面试(onsite interview),通常包括 3-4 轮技术面和招聘经理进行的行为面试。
在我面试过的公司中,大约有一半(4/10)公司在 TPS 前给了一个 take-home assignment 或者用 take-home assignment 代替 TPS。实际上,take-home assignment 会花费很多精力。做完一个 8 小时的 take-home assignment,我至少要休息半天。因此,我需要尽力安排好面试时间。我做完一项 take-home assignment 后,第二天上午不会安排面试。
了解面试的基本结构能够帮求职者放松,并熟悉找工作的流程。
面试前
对于我来说,每一个面试机会都是非常重要的。我知道有些人可能会把面试看作一种学习的方式,比如通过刷面试经历来获取经验,然后通常是拿最后面的那几家公司的 Offer,但我认为不应该采取这种方法。
2017 年毕业时,我在 500 份求职申请后只得到了 4 份面试通知,2019 年我也不期望会有更多。因此我更加注重每一次面试准备,不会浪费任何机会。
被解雇的好处之一就是我能用全部精力来准备面试,每天我都会整理学习的内容。根据之前的面试经验,我感觉到更加深入的了解才能让自己在面试中给出更深刻的答案。尤其是,当你比平时更紧张更焦虑的时候,充分的知识储备才能让你收放自如。
在我描述自己经历的时候,不禁想到之前常听到的一个误解:没有真正的经验就不可能获得产品或实验的相关知识。这一点我是不同意的,我认为通过阅读、聆听、思考、总结也可以习得这些技能。毕竟这和学校的教学方式相同,而且随着我认识越来越多的数据科学家,我验证了这种方法是通用的,即便对于拥有多年深厚从业经验的人也是如此。面试的内容可能与你所做的事情无关,但你可以通过工作经验以外的方式来获得所需的知识。
那么你需要具备哪些基本知识呢?通常,在 TPS 期间会询问产品和 SQL 的问题。现场面试期间考察的问题包括产品嗅觉、SQL、数据统计、建模、行为,可能还有 presentation。
接下来的几小节总结了我在准备面试的过程中用到的资源。一般来说,GlassDoor 是了解公司特定问题的好资源。看到其中的问题之后,我既了解了公司的要求,也了解了自己和这些要求的差距。这样一来,我就能够制定计划来填补这些空白。
「六大科目」,各个击破
以下六个部分是我针对产品分析职位总结的面试准备要求。
产品嗅觉
作为一家创业公司的数据科学家,我主要负责开发和部署机器学习模型,同时写写 spark job。因此,我几乎没有任何产品相关的知识。GlassDoor 上有一些这方面的问题,比如「如何度量成功?」「如何通过当前用户的行为验证新特性?」看到这些抽象、开放的问题时,我感觉毫无头绪。
为了学习产品相关的知识,我采用了最基本的阅读、总结策略,使用了下面列出的资源。这些阅读材料帮我构建起了自己的产品知识体系。最后,我总结出了一个回答所有类型产品问题的结构化方法。
为了测试和练习,我写下了有关产品嗅觉问题的答案,然后大声说出这些答案并录音,最后自己听录音改进答案。
以下是一些参考资源:
  • Stellar Peers:https://ift.tt/33aR3Mh
  • Gayle Laakmann McDowell 和 Jackie Bavaro 写的《Cracking the PM Interview: How to Land a Product Manager Job in Technology》
  • Lewis C. Lin 写的《Decode and Conquer》
  • Victoria Cheng 写的《Case Interview Secrets》
SQL
我第一次做 SQL TPS 的时候失败了,那还是一家我感兴趣的公司。之后,我研究了一下 SQL 问题,并在一天之内完成了我原来要花一周才能完成的问题,真是熟能生巧。
以下是参考资料:
  • Leetcode 数据库问题:https://ift.tt/3czGCF5
  • HackRank SQL 问题:https://ift.tt/2Gd0b9Z
统计学和概率论 
为了回答这类问题,我温习了基本的统计学和概率论知识,还做了一些编程练习。虽然这两个方面内容都很多,但产品数据科学的面试不会太难。以下资源可供参考:
  • 可汗学院的《统计学和概率论》入门课程:https://ift.tt/2dRZ4yh
  • 一本统计学方面的电子书:https://ift.tt/1tblibu
  • 哈佛的《Statistics 110: Probability》课程,介绍了现实中的概率问题:https://www.youtube.com/playlist?list=PL2SOU6wwxB0uwwH80KTQ6ht66KWxbzTIo
  • 如果你不喜欢听课,但喜欢阅读,可以看一下 PennState 对于概率论的系统介绍,里面有很多例子:https://ift.tt/2S1zrMk
  • 我还通过「10 Days of Statistics」在 HackRank 上练习编程,以此来巩固自己的理解:https://ift.tt/2E6b0Wa
  • 有时候, 统计学面试中会问到 A/B 测试问题。优达学城有一门课(https://www.udacity.com/course/ab-testing--ud257)覆盖了 A/B 测试的基本问题,Exp Platform 有一个关于这个主题的更简明的课程:https://ift.tt/36pNdRx
机器学习
由于没有计算机科学专业的学位,我在找工作的时候对机器学习的了解非常有限。我在上一份工作中上过一些课程,面试之前我复习了一下自己的笔记。然而,在建模问题越来越多的今天,产品数据科学家岗位面试中遇到的问题还是集中于如何应用这些模型,而不是模型背后的数学和理论。这里还有一些有用的资源帮你提升机器学习技能:
  • Andreas Mueller 的免费应用机器学习课程:https://www.youtube.com/watch?v=d79mzijMAw0
  • 吴恩达在 Coursera 上的机器学习课:https://ift.tt/2HDsFdR
  • 优达学城《机器学习工程纳米学位》:https://ift.tt/2ru3VZP
Presentation
一些公司要求应聘者展示一个 take-home assignment 或你最引以为豪的一个项目,在这一环节中,你要让自己的展示有趣且具有挑战性。
那要怎么做到这一点呢?我的建议是考虑所有细节,如高级目标和成功的度量标准,从 ETL 到建模实现细节,再到部署、监控和改进。这些小事加起来要比一个大的 idea 更有说服力。下面有几个值得反复思考的问题,有助于你做一个理想的 presentation:
  • 你这个项目的目标是什么?用什么指标来衡量成功与否?
  • 开始这个项目的时候,你是怎么做决定的?
  • 你如何知道用户能否从项目中受益?
  • 你是如何做测试的?你的 A/B 测试是怎么设计的?
  • 项目中最大的挑战是什么?
为了让我的 presentation 更加有趣,我通常会分享项目中一些有趣的发现以及其中最大的挑战。但要想做一个真正吸引人的 presentation,你需要练习,一遍又一遍地大声练习。我在家人面前练了一下,以确保自己掌握了材料。如果你能吸引到你认识的人,那个必须坐下来听你说的面试官也逃不过你的手掌心。
行为性问题
虽然准备技术面试问题很容易,但不要忘了,行为性问题也同样重要。我面过的所有公司至少都有一轮现场的行为面试,其中的问题通常可以分为三大类:
  • 你为什么选择我们?你认为一份工作中最重要的是什么?
  • 介绍你自己 / 你为什么要放弃当前的工作?
  • 你的职业生涯中最成功 / 失败或最具挑战性的事是什么?或者,请说出一个你解决冲突的例子或者你说服你的经理或 PM 的经历。
对于数据科学家岗位来说,行为性问题非常重要,所以一定要好好准备!了解一家公司的使命和核心价值观有助于你回答第一类问题。第二和第三类问题可以通过讲故事来回答——三个故事就足以回答所有的行为性问题。在进去面试之前,一定要确保你脑子里存了一些好故事。与产品性问题类似,我通过大声练习的方式进行准备,还自己录音自己听并不断调整答案。
现场面试百发百中的秘诀
现场面试的前一天通常是忙碌且压力山大的,我总是试图掌握更多的技术知识,同时还要查看统计学笔记,并思考回答产品问题时的框架。当然,和学校里一样,这样的突击准备并不总是有效,罗马也不是一天建成的。所以说,准备是很重要的,但这里还有一些规则需要特别注意:
  1. 在回答问题之前,先弄明白问题。听完提问后,用自己的语言重复一次问题,以确保你正确地理解了问题。这一点非常重要。
  2. 组织所有问题的答案。写下你思考过程中的要点,向面试官展示你在解决问题时有系统性思维,也有助于面试官对你进行评价。
  3. 即使不知道答案,也不要慌。如果你不熟悉这个领域也没关系,可以先做一些假设,然后询问这种假设是否合理。如果实在想不出任何答案,大脑一片空白,那也可以谈论一些与该类型问题相关的经验。
  4. 态度很重要。企业想要找的是愿意倾听并接受不同意见的人,如果想证明自己易于合作,就要保持谦逊、尊重他人,倾听并表达,为面试现场带来积极能量,并尽力舒畅地进行沟通。
  5. 提前调查该公司。熟悉它的产品,再设想如何改进其产品,以及用哪些指标来衡量这些产品的成功。阅读公司数据科学家的博客,了解其工作内容。提前调查有助于在面试中进行更加深入、顺畅的对话。
遵循以上规则之后,我得到了如下评价:
  • 用结构化的方式回答产品问题;
  • 谈吐有条理,深思熟虑;
  • 对公司产品表现出浓厚的兴趣,并提供了有价值的改进建议。
最后的谈判
收到口头 Offer 后,下一步就是和招聘方确定薪酬等条件,我的原则是「友好协商」。但是怎么做呢?
我推荐一份指南,Haseeb Qureshi 在这方面的经验给了我很重要的启示。薪酬的平均涨幅达到了 15%,最高时还达到了 25%。
在求职经历中,我总结出了以下几点:
  • 实践出真知;
  • 失败是生活的一部分,也是求职的一部分,别太在意;
  • 寻找一种有效的解压方法。
结语
在掉了 5 公斤体重和无数次流泪后,被解雇后两个月内我拿到了 4 个 Offer,其中三个来自我想都不敢想的公司:推特、Lyft 和 Airbnb(我最终加入的公司),另外一家是医疗领域初创公司。
在这两个月中,我共收到了 10 个面试邀请、4 个现场面试机会和 4 个工作 offer,现场面试的 Offer 概率达到了 100%。
Emma Ding 的求职时间线
我很幸运,在被解雇后得到了家人和朋友的大力支持,这对于寻找理想工作至关重要。
找工作本身也像是一份工作,好在一切都值得。
参考链接:
https://ift.tt/2RFdxhz
https://ift.tt/2irS4dw
AIWIN世界人工智能创新大赛——2021赛季「抗新冠助科研AI大赛」全球招募啦!
开放新冠开放研究数据集(Corvid-19 Open Research Dataset,简称 CORD-19)包含近 20 万篇有关冠状病毒学术论文的数据集。
如果你是个人,这里有高额的奖金、世界500强合作企业的实习和就业机会、个人技术的世界级展示和交流平台;
如果你是企业,这里有AI+医疗全生态对接资源、有面向全球的线上线下展示机会、有真实的AI场景需求对接通道。
识别图片二维码或者点击阅读原文,立刻报名参赛吧!

© THE END 
转载请联系本公众号获得授权
投稿或寻求报道:content@jiqizhixin.com
继续阅读


source http://posts.careerengine.us/p/5f716df596efc451d9dc7e29

AI+药研拐点来临?这家从MIT走出的公司融资3亿美元,创全球AI药研融资新高

晶泰科技是一家以计算驱动创新的药物研发科技公司,基于前沿计算物理、量子化学、人工智能与云计算技术,为全球创新药企提供智能化药物研发服务。 
晶泰科技表示,本轮融资将用于进一步发展晶泰科技的智能药物研发系统,从算力、算法、数据三个维度构建AI赋能的数字化药物研发新基建,并服务于全球药企、生物科技公司和合作伙伴,满足药物工业迫切的提效增速需求。
报道 | 机器之能
机器之心9月28日消息,以数字化和智能化驱动的人工智能(AI)药物研发公司晶泰科技 (XtalPi) 宣布超额完成3.188亿美元的C轮融资,创造全球AI药物研发领域融资额的最高纪录。 
本轮投资由软银愿景基金2期、人保资本、晨兴资本联合领投,中金资本、招银国际招银电信基金、Mirae Asset(未来资产)、中证投资、中信资本、海松资本、顺为资本、方圆资本、IMO Ventures、Parkway 基金等多家来自全球的投资机构跟投,腾讯、红杉中国、国寿股权投资、SIG 海纳亚洲等早期股东继续追加投资 。 
2020年,“人工智能发现分子”入选《麻省理工科技评论》发布的“全球十大突破性技术”榜单。人工智能与药物工业均为万亿级产业,二者的结合将会爆发出巨大潜力。此轮募资标志着从麻省理工学院 (MIT) 校园走出的晶泰科技已逐步成为全世界范围内AI制药领域最有影响力的公司之一。 
2014年,晶泰科技成立于麻省理工大学,核心团队由来自学术界、IT互联网界及医药产业界的优秀人才组成,联合创始人都是麻省理工大学博士后。公司主要做包括药物固体形态研究在内的临床早期药物设计,最主要业务线是临床前开发的药物固体形态研究和药物分子的设计。 
作为一家以计算驱动创新的药物研发公司,晶泰科技的ID4(Intelligent Digital Drug Discovery andDevelopment)智能药物研发平台结合量子物理、人工智能与云计算技术,可以准确预测小分子药物的多种重要特性,加速药物临床前研究的效率与成功率。 
晶泰科技联合创始人、董事长温书豪表示,“过去几年,我们专注于打造和完善自主开发的ID4智能药物研发平台。通过与全球范围内的大药企、生物科技公司的合作,不断验证ID4平台在成本、速度与成功率方面的优势和巨大潜力,并获得多项里程碑式的进展。” 
晶泰科技在2018年1月完成约1500万美金的B轮融资,由红杉资本中国基金领投,谷歌跟投,A轮投资方腾讯继续在本轮追加投资。此前,公司获得由峰瑞资本、真格基金和腾讯3200万元A轮投资。 
晶泰科技表示,本轮融资将用于进一步发展晶泰科技的智能药物研发系统,从算力、算法、数据三个维度构建AI赋能的数字化药物研发新基建,并服务于全球药企、生物科技公司和合作伙伴,满足药物工业迫切的提效增速需求。 
算法方面,晶泰科技基于物理理论及人工智能理论双核,已完成了上百种算法的储备。其物理基础理论框架,覆盖从量子力学到经典力学的算法,通过构建多尺度、多维度的模型,能够从最底层准确描述药物分子与人体蛋白之间的相互作用;其人工智能理论框架,完成了不同特征向量对应药物各种关键性质之间的AI强化和交叉验证模型构建。 
下一步,晶泰科技还将打造现代化实验室与数字化研发平台紧密结合的数字孪生研发体系,实现实验探索与药物模拟算法的高效交互迭代。 
数据方面,晶泰科技使用数据湖作为数据治理的主要方式,使计算产生的巨量数据不仅直接作为计算结果呈现,并应用于数据分析、机器学习等场景。晶泰科技还通过特殊的数据策略,以量子力学计算积累起大量药物分子化学空间的底层数据。 
目前,晶泰科技的数据积累已经接近PB量级。随着数字孪生研发体系的开发部署,计算量的持续增加,晶泰科技将以丰富的药物研发真实世界数据支持其算法的持续创新与升级,挑战更多研发瓶颈,解决药物研发行业的关键问题。 
算力方面,晶泰科技基于多云的架构模式,在AWS、腾讯云、Google Cloud 等多个公有云上搭建了一个可全球化调度海量资源的计算平台。利用云计算超强的弹性扩展与并行计算能力,该平台可在数小时之内创建一个近百万计算核心的超级集群。这一平台让晶泰科技可以同时开展超大规模的药物分子发现与筛选项目,支持其药物AI研发技术的规模化的应用。 
本轮融资完成后,晶泰科技将全力部署AI赋能的数字化药物研发新基建,推动药物工业向更智能的药物研发模式变革,助力全球更多药企、生物科技公司利用人工智能开发出更多高效的药物,惠及全球患者,也为中国药物工业的人工智能数字化升级做贡献。 
“这是一项有温度的技术,我们的愿景是‘患者有其药’,简单的五个字,表达的是最朴素的愿望:我们希望所有罹患病痛的人类个体,不论年龄、国籍、肤色、贫富,如有疾病都能平等地得到救治,用得到、用得起好的药物。”温书豪说。 
据他介绍,在药物工业界的头部企业中,2015年以来新药研发回报率已经降至不足5%,药物研发的失败率和成本越来越高,使得好的药物也越来越昂贵;另外,仍有大量的疾病没有有效的药物可以救治,所以人工智能被寄予厚望,通过算法、算力、数据来提高药物研发的效率和成功率,降低药物研发成本,探索更广阔数量级的化学空间,最终惠及全球患者,带来更多的特效药。 
“AI+药物研发”是一个很新的领域,其布局空间非常大。传统药物研发行业的产业链非常长,从最开始靶点的发现,到药物分子的筛选和设计,再到生物的活性实验,还要经历一系列的生产环节,最后再到人体的临床等。 
AI+药物研发的过程主要分为几种,生命科学、标靶发现、标靶确证、先导发现(先导化合物发现)、先导优化以及临床前、临床再逐步面向市场。应用案例有药物激酶谱预测、DEL化合物编码等。 
预计到2024年,每年全球在AI大健康领域的投入将超过100亿美元;每年全球在AI药物发现领域的投入将超过40亿美元。随着AI在药物研发领域的深耕和独角兽的出现,这一市场或许已经迎来了爆发的节点。 
随着人工智能的不断发展以及计算资源成本的进一步下降且充分的公有化,在万亿美金药物工业的巨大市场中终于由技术的量变引起了产业质变,使得计算机与实验更紧密地结合在一起并且可以形成快速的反馈机制,对新药发现的速度和质量都有显著提升。”晨兴资本创始合伙人刘芹表示。 
“在这场生产力的变革中,晶泰科技是最早将物理计算和 AI 算法良好地结合的企业,并在工程上进行了计算架构的充分优化和真实世界迭代系统的建立,现已初步证明了其技术的可行性和可扩展性。相信晶泰科技会在不久的将来成为新药研发行业的新一代重要基础设施。晨兴资本长期看好计算科学在生命科学领域的应用,希望 IT 技术与生物科技的融合可以早日将人类健康带入一个新的纪元。”

继续阅读


source http://posts.careerengine.us/p/5f714b5825b9c14055321b71

Facebook田渊栋:NeurIPS 2020中了两篇,感觉还算不错

作者 | 田渊栋
编辑 | 陈大鑫 
做理论需要的基础知识多,困难,周期长,没有直接经济效益,还只能一两个人单打独斗且无法使用大量计算资源,每个因素都和现在的主流发展方向(强调团队合作,强调速度和新闻性,代码开源,大数据,大量计算资源)背道而驰。
而且,理论研究论文大多艰深、晦涩难懂,结论依赖不现实的假设,难免令人望而却步乃至失望。相比之下,实验研究效果立竿见影,传播快。
田渊栋如此说道。
理论研究要让少数的、有情怀的人去做,远离市场噪杂和竞争,慢慢地钻研。“一万个硕士博士里有一个怀着这个理想,那迟早有一天会做出来的,大部分人不用费这个力气的。”
田渊栋又道。
昨日,NeurIPS 2020放榜9454篇论文提交,1900篇接收,录取率仅为20.09%。
上海交通大学本硕、卡耐基梅隆大学机器人系博士,现任 Facebook 人工智能研究院(FAIR)研究员和研究经理的田渊栋这次投稿了三篇主打文章(一作或者最后一作),中了两篇。
田渊栋表示:还算不错
得知自己中了两篇论文之后,作为知乎上的热爱分享、传播知识的大V,田渊栋第一时间写了两篇小博客各自介绍了这两篇篇论文:
第一篇设计了一个新的算法,来试图解决多智能体合作时联合优化策略的问题。
第二篇提出了一种新的黑盒优化的方法:LaMCTS (Latent Action Monte Carlo Tree Search),这个方法基于蒙特卡罗树搜索,但在这上面有改进。
AI科技评论第一时间联系到了田渊栋博士,经授权,现把内容整理如下。
在介绍两篇论文工作之前先把田渊栋博士的NeurIPS后感想转述如下:
这篇一作文章的理论在deadline前四天才被发现,在理论被发现之前,对策略变化的得分计算一直用的是一个极其复杂的方案,考虑各种状态进入和离开信息集的情况,光代码本身就写了一周,修理各种corner case修到头都秃了。最后实验上的效果也确实是单调上升,但一直证明不出来其正确性。
直到某一天晚上意识到根本不需要这么复杂,推出了非常简单的公式之后不敢相信自己的眼睛,立即重写代码,从晚上十点半写到十点四十分,跑出来的结果是一样的,速度还快。
数学的美,可能正是美在这里。 
另一篇最后一作的中稿文章基本上我从头到尾都重写过一遍,包括abstract,introduction,方法还有实验部分。反观第三篇没中的,其实整体思路及实验效果都非常好,但因为写作只把关了abstract和intro,导致方法论的描述部分出现了低级失误,给reviewers造成了巨大的误解,可惜了。
做研究,文章其实贵精不贵多,现在铺天盖地的AI论文,每天看arXiv都看不完,但留下印象的,给领域提供实质性贡献的,其实并不多。
我每次向别人介绍FAIR内部的评价体系,都会说“我们不看论文数量”,每半年打绩效,只问有没有Top-3的工作,在每篇工作里的具体贡献是什么:思路是谁提出的?代码是谁写的?实验是谁跑的?效果是谁调上去的?定理是谁证的?文章是谁写的?其它的各种挂名文列上去就行,也没人会在意。这样算下来,花大力气发一篇好工作是正分,发一百篇毫无关联的水文是零分甚至是负的印象分,这样也可以鼓励大家多出成果少搭便车。
我也在向这方面一直继续努力。曾经挺羡慕那些文章列表上百的朋友们,但后来才明白什么才是自己想要走的道路。
之后的ICLR还会延续同样的模式,除开被拒转投的文章,还会有两篇新的文章出来,还是老样子,一篇一作,一篇最后一作。两篇文章都非常不错,而教师-学生的神经网络理论分析也将回归,用在一个大家想不到却正是极其适合的地方,得到极其有趣的结果,敬请期待。
接下来田渊栋博士对两篇中奖论文的介绍。
1
论文一
论文链接:https://ift.tt/3i94ArG
论文作者:Yuandong Tian, Qucheng Gong, Tina Jiang
这篇文章设计了一个新的算法,来试图解决多智能体合作时联合优化策略的问题。
对于不完美信息两人零和游戏,比如说两人德州扑克。
用现用的一些算法(比如说CFR)可以在理论上保证当迭代次数足够时一定收敛到纳什均衡点。但不完美信息多智能体合作的策略优化则要困难很多,并且往往会陷入局部极小值。
比如说有两个玩家合作,玩家1抽一张暗牌红桃A或黑桃A,然后向玩家2发一个红桃A或黑桃A或方块A的信号,让玩家2猜A手上的牌是什么,猜中得1分,猜不中则得0分。
显然在这种情况下,存在 
种协议,这6种协议是完全对称的,采用任何一种玩家2都可以猜中得1分。但如果规则稍微改一下,比如说发送黑桃A有0.1的附加分,那若玩家1和玩家2采用“抽红桃A红桃A, 抽黑桃A发方块A”的协议,就赚不到这个附加分,是局部极小策略。但玩家1和玩家2单方面都不想改变自己的策略,因为单方面改变的结果是对方不理解自己策略的改变,导致得分的下降。
那在这种情况下,要如何去优化各自的策略呢?很多策略优化方案采用就是按坐标优化(Coordinate Descent),即假设其它人的策略不变,然后优化自身的策略。这显然在这里不太可行。而同时优化多个智能体的策略,在不完美信息的条件下,又是比较困难的,见下图:
假设带阴影的这些信息集(Information Set)上的策略需要优化,但问题在于如果改变了上游的策略,则下游信息集内各状态的可到达概率就会发生各种变化,从而隐含地改变下游的期望得分;而下游策略的改变,又会改变上游的期望得分。
这就使得策略与收益得分相互间的影响变得非常复杂,而且存在“牵一发而动全身”的关系,让联合优化变得非常困难——如果我们只想修改1000个信息集中的3个信息集的策略,那其它997个信息集上的期望得分也会发生变化,即便它们之上的策略并没有发生任何改变。
这篇文章的一个主要贡献,就是找到了一个”策略变化密度“(policy-change density)这样一个量,满足以下两个条件:
1、 不管上下游的策略是否发生了变化,如果一个状态的当前策略没有变化,那策略变化密度就为0。
2、策略变化密度在所有状态上的总和,就是整个游戏得分因策略变化后的改变量。
如果一个状态的当前策略没有变化,那么策略变化密度(policy-density change) 正好等于零。这个和周围的策略有没有变化无关。
有了这两个性质之后,得分因策略变化后的改变量就可以分解成局部项了:如果只修改了3个信息集的策略,那么总的期望得分的增加就完全由这3个信息集上的策略变化密度的和来决定。这样就极大简化了计算。
策略变化后,整个游戏的得分改变量在每个信息集上的局部分解。
有了这个公式之后,再要联合优化策略就变得相对容易了。
这篇文章采用的是简单的深度优先搜索,从上游策略出发,先改变上游策略,然后给定上游策略,再改变下游策略,如此往复,然后看最后整个游戏的得分改变量的大小,最终选出最好的新策略组合。
这样就能达到联合策略搜索(Joint Policy Search)的目的,并且这样的算法得到的策略性能一定是单调上升的。
运用这个方法,我们先在一些小规模的非完美信息合作游戏(主要是桥牌叫牌阶段的简化版)上进行了测试。我们从CFR得到的联合策略开始,用搜索算法对当前的联合策略进行改进(CFR1k+JPS),直到陷入局部极大值为止。结果发现确实有用,新的策略都改进了得分,而且越复杂的游戏,改进越大。
这部分代码已经开源:
https://ift.tt/2Ym4g1T
联合策略搜索在四个不同的小游戏上都改进了游戏得分。
最后当然是在真的桥牌叫牌环境下进行测试。
们先用A2C自对弈训练了一个还不错的基线策略,然后用上文提到的联合策略搜索(JPS)来改进队友间的叫牌约定,并且和目前较好的桥牌AI软件(WBridge5)进行了一千局开闭室比赛。
比赛是JPS和JPS一队,WBridge5和WBridge5一队。最后发现和基线策略相比,我们的效果确实变好了。
注意这里的两阶段训练没有用到任何人类对局,为的是能够无监督地学到全新的叫牌约定——让机器学到人类所不知道的新东西永远是很有意思的。
当然这里有个问题是我们只做了叫牌,没有做打牌,叫牌完了之后游戏就结束了,并以双明手(double-dummy)的分数,即所有牌摊开来打,来定胜负。
WBridge5是以正常叫牌加打牌的模式来优化的,并且事先也没有领教过我们学出来的新叫牌约定,所以这个比较不是特别公平(也被reviewer们使劲狂喷),但目前只有这个办法(这部分代码暂不开源,因为各种小trick比较多,之后等全部搞完了再说)。
IMPs/b (平均每桌的国际比赛分)这个应该算是目前最好的结果了(State-of-the-Art)。
2
论文二
论文链接:https://ift.tt/2HstjKW
论文作者:Linnan Wang, Rodrigo Fonseca, Yuandong Tian
(我们相关的工作还有一篇叫LaNAS,主要是将这个方法用在神经网络架构搜索(NAS)上:Sample-Efficient Neural Architecture Search by Learning Action Space https://arxiv.org/abs/1906.06832。Linnan Wang, Saining Xie, Teng Li, Rodrigo Fonseca, Yuandong Tian)
这篇主要是提出了一种新的黑盒优化(Black-box optimization)的方法。这个新的方法叫LaMCTS (Latent Action Monte Carlo Tree Search),顾名思义这个是基于蒙特卡罗树搜索(Monte Carlo Tree Search)的,但在这上面有改进。
传统的MCTS的目标是在给定状态空间(state space S)、行动空间(action space A)及状态转移函数(transition matrix, S, A -> S') 之后,通过搜索找到最优的行动序列,以获得最大的奖励。
MCTS搜索是通过增量构建一棵以初始状态 
为根的树来实现的,树中的每个状态结点
都有一个简单的模型
描述如果选择行动
,根据过去的经验会有多少奖励。新叶子结点的构建则权衡了过去的经验(exploitation)和探索新的结点(exploration)这两个目标,随着搜索的进行,新叶子会更多集中在有希望的区域里面。
乍一看,MCTS和规划有关,和黑盒优化似乎无关,那它们之间是如何建立联系的呢?
一般来说,黑盒优化都是从一个初始解出发,通过不停迭代来改进当前解,直到无法再改进为止。
其主要性能指标是:达到同样的函数值,需要多少次黑盒函数的调用,越少越好。因为在实际问题中,需要用黑盒优化的场景,往往是函数调用开销非常大且没有导数信息的场景,比如说函数值是一个复杂系统运转一天后的平均效率,或者是耗费巨资才可获得的一个实验结果,等等。
这个黑盒优化的迭代过程可以用各种方案去刻划:比如说从一个还不错的起始点开始的局部搜索,一个从粗到细的逐步精化,或者说局部渐进和长程跳跃的组合(例如进化算法的演化和突变),等等,每种方案都对应不同的行动空间。
但从本质上来说,优化和“下棋打游戏”等问题很大的不同点在于,优化本身没有”行动空间“的概念,对它而言,行动空间如何定义都无所谓,只要最终解质量好就行。
与其使用各种人工定义,自然的想法就是学一个行动空间出来。这就是这一系列文章的贡献。
我们以“解空间的切分”作为广义上的行动空间,而具体的切分方式,则是在每个MCTS的树结点上,用过去获得的样本点学一个最好的切分函数出来——我们希望这个切分函数能将好的和差的样本点尽量分开,这样一刀切下去,如果能将质量差的解空间统统切掉,以后少分配些搜索资源,那就是最理想的了。
而MCTS兼顾exploitation和exploration的特性,使得即便一开始切得不够好,以后也有扳回来重新划分空间的余地。而每个叶节点的空间,就是它的所有祖先节点的切分的交集。
以下是一个神经网络架构搜索(NAS)上的简单例子。
假设我们要搜索一个一至五层的卷积网络,每层的filter数是32或是64,filter大小可以是3x3或者5x5。考虑两个不同的行动空间,一个是逐层确定每层的参数(filter数及filter大小),另一个是先确定网络层数,再确定每层的参数。
从图上可以看到,明显是先确定网络层数的方案效率更高(同样样本下准确率更高),因为相对其它参数,层数对最后网络准确率的影响更大,如果先按层数切分搜索空间,那搜索效率自然就提高了。
神经网络架构搜索(NAS)上的简单例子,先按层数切分搜索空间(蓝线),搜索效率得到了提高。
洞察到了这些问题之后,我们提出了LaNAS和LaMCTS。
LaNAS采用线性函数切分空间,对于叶节点的函数值估计则采用简单的随机采样法,及最近比较流行的one-shot supernet。
LaMCTS做了改进,采用非线性函数切分空间,并且在叶节点上用了已有的黑盒优化的方法比如说Bayesian Optimization(BO)来找到叶节点的子区域里的最优解。
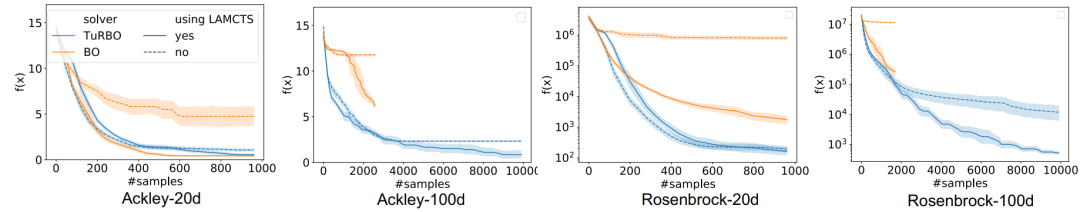
通过这个方式,特别对于高维问题达到同样性能,我们发现LaMCTS可以达到更低的样本复杂度。这里我们在Mujoco的任务上做了测试,和各种已有的黑盒算法进行了比较,蓝线是我们的方法:
LaMCTS在高维空间搜索中有优势,纵轴是奖励,越高越好。
当然LaMCTS和基于梯度的方法相比,在Mujoco的高维问题上还是有差距(因为Mujoco其实并不需要太多探索)。我们指出了自身的局限性,出乎意料地被reviewers们开口称赞。
因为每个叶结点采用了已有算法,LaMCTS也可以套在任何已知的黑盒优化算法上,作为一个元算法(meta-algorithm),让整个系统达到更好的效果。
为什么能提高呢?
主要原因是,传统方法像Bayesian Optimization (BO)在参数空间维数很大(比如上百维)的情况下,由于维数灾难的问题,高斯过程(GP)的建模效率就会大打折扣。
而LaMCTS通过切分空间,让GP的建模局限在一个比较小的范围内,从而提高了它的效率。
LaMCTS可以套在任何已知的黑盒优化算法上,一定程度上提高它们的性能。
田渊栋博士知乎链接:
https://ift.tt/3368oFQ

NeurIPS 2020录用结果已出,欢迎各位作者投稿
点击阅读原文,直达“CCF-NLP走进高校之郑州大学”直播页面!
继续阅读

明星 AI 编码助手涨价 10 倍惹怒开发者!CEO 回应:有人花千元薅了我们 10 多万 -InfoQ 每周精要No.898

「每周精要」 NO. 898 2025/10/18 头条 HEADLINE 明星 AI 编码助手涨价 10 倍惹怒开发者!CEO 回应:有人花千元薅了我们 10 多万 精选 SELECTED 苹果 M5 发布,Cursor 用户狂喜! 网友:Siri 终于要听懂我了...