| 前言:自从在机器之心上看到了 Glow 模型之后(下一个GAN?OpenAI提出可逆生成模型Glow),我就一直对其念念不忘。现在机器学习模型层出不穷,我也经常关注一些新模型动态,但很少像 Glow 模型那样让我怦然心动,有种"就是它了"的感觉。更意外的是,这个效果看起来如此好的模型,居然是我以前完全没有听说过的。于是我翻来覆去阅读了好几天,越读越觉得有意思,感觉通过它能将我之前的很多想法都关联起来。在此,先来个阶段总结。 背景 本文主要是 NICE: Non-linear Independent Components Estimation 一文的介绍和实现。这篇文章也是 Glow 模型的基础文章之一,可以说它就是 Glow 的奠基石。 ■ 论文 | NICE: Non-linear Independent Components Estimation ■ 链接 | https://ift.tt/2Ow460p ■ 源码 | https://ift.tt/2MmmGL2 艰难的分布 众所周知,目前主流的生成模型包括 VAE 和 GAN,但事实上除了这两个之外,还有基于 flow 的模型(flow 可以直接翻译为"流",它的概念我们后面再介绍)。 事实上 flow 的历史和 VAE、GAN 它们一样悠久,但是 flow 却鲜为人知。在我看来,大概原因是 flow 找不到像 GAN 一样的诸如"造假者-鉴别者"的直观解释吧,因为 flow 整体偏数学化,加上早期效果没有特别好但计算量又特别大,所以很难让人提起兴趣来。不过现在看来,OpenAI 的这个好得让人惊叹的、基于 flow 的 Glow 模型,估计会让更多的人投入到 flow 模型的改进中。 
▲ Glow模型生成的高清人脸 生成模型的本质,就是希望用一个我们知道的概率模型来拟合所给的数据样本,也就是说,我们得写出一个带参数 θ 的分布 qθ(x)。然而,我们的神经网络只是"万能函数拟合器",却不是"万能分布拟合器",也就是它原则上能拟合任意函数,但不能随意拟合一个概率分布,因为概率分布有"非负"和"归一化"的要求。这样一来,我们能直接写出来的只有离散型的分布,或者是连续型的高斯分布。 当然,从最严格的角度来看,图像应该是一个离散的分布,因为它是由有限个像素组成的,而每个像素的取值也是离散的、有限的,因此可以通过离散分布来描述。这个思路的成果就是 PixelRNN 一类的模型了,我们称之为"自回归流",其特点就是无法并行,所以计算量特别大。所以,我们更希望用连续分布来描述图像。当然,图像只是一个场景,其他场景下我们也有很多连续型的数据,所以连续型的分布的研究是很有必要的。 各显神通 所以问题就来了,对于连续型的,我们也就只能写出高斯分布了,而且很多时候为了方便处理,我们只能写出各分量独立的高斯分布,这显然只是众多连续分布中极小的一部分,显然是不够用的。为了解决这个困境,我们通过积分来创造更多的分布: 
这里 q(z) 一般是标准的高斯分布,而 qθ(x|z)=qθ(x|z) 可以选择任意的条件高斯分布或者狄拉克分布。这样的积分形式可以形成很多复杂的分布。理论上来讲,它能拟合任意分布。 现在分布形式有了,我们需要求出参数 θ,那一般就是最大似然,假设真实数据分布为 p̃(x),那么我们就需要最大化目标: 
然而 qθ(x) 是积分形式的,能不能算下去很难说。 于是各路大神就"八仙过海,各显神通"了。其中,VAE 和 GAN 在不同方向上避开了这个困难。VAE 没有直接优化目标 (2),而是优化一个更强的上界,这使得它只能是一个近似模型,无法达到良好的生成效果。GAN 则是通过一个交替训练的方法绕开了这个困难,确实保留了模型的精确性,所以它才能有如此好的生成效果。但不管怎么样,GAN 也不能说处处让人满意了,所以探索别的解决方法是有意义的。 直面概率积分 flow 模型选择了一条"硬路":直接把积分算出来。 具体来说,flow 模型选择 q(x|z) 为狄拉克分布 δ(x−g(z)),而且 g(z) 必须是可逆的,也就是说: 
要从理论上(数学上)实现可逆,那么要求 z 和 x 的维度一样。假设 f,g 的形式都知道了,那么通过 (1) 算 q(x) 相当于是对 q(z) 做一个积分变换 z=f(x)。即本来是: 
的标准高斯分布(D 是 z 的维度),现在要做一个变换 z=f(x)。注意概率密度函数的变量代换并不是简单地将 z 替换为 f(x) 就行了,还多出了一个"雅可比行列式"的绝对值,也就是: 
这样,对 f 我们就有两个要求: 1. 可逆,并且易于求逆函数(它的逆 g 就是我们希望的生成模型); 2. 对应的雅可比行列式容易计算。 这样一来: 
这个优化目标是可以求解的。并且由于 f 容易求逆,因此一旦训练完成,我们就可以随机采样一个 z,然后通过 f 的逆来生成一个样本 ,这就得到了生成模型。 flow 前面我们已经介绍了 flow 模型的特点和难点,下面我们来详细展示 flow 模型是如何针对难点来解决问题的。因为本文主要是介绍第一篇文章 NICE: Non-linear Independent Components Estimation 的工作,因此本文的模型也专称为 NICE。 分块耦合层 相对而言,行列式的计算要比函数求逆要困难,所以我们从"要求 2"出发思考。熟悉线性代数的朋友会知道,三角阵的行列式最容易计算:三角阵的行列式等于对角线元素之积。所以我们应该要想办法使得变换f的雅可比矩阵为三角阵。NICE 的做法很精巧,它将 D 维的 x 分为两部分 x1,x2,然后取下述变换: 
其中 x1,x2 是 x 的某种划分,m 是 x1 的任意函数。也就是说,将 x 分为两部分,然后按照上述公式进行变换,得到新的变量 h,这个我们称为"加性耦合层"(Additive Coupling)。不失一般性,可以将 x 各个维度进行重排,使得 x1=x1:d 为前 d 个元素,x2=xd+1:D 为 d+1∼D 个元素。 不难看出,这个变换的雅可比矩阵 是一个三角阵,而且对角线全部为 1,用分块矩阵表示为: 
这样一来,这个变换的雅可比行列式为 1,其对数为 0,这样就解决了行列式的计算问题。 同时,(7) 式的变换也是可逆的,其逆变换为: 
细水长flow 上面的变换让人十分惊喜:可逆,而且逆变换也很简单,并没有增加额外的计算量。尽管如此,我们可以留意到,变换 (7) 的第一部分是平凡的(恒等变换),因此单个变换不能达到非常强的非线性,所以我们需要多个简单变换的复合,以达到强非线性,增强拟合能力。 
其中每个变换都是加性耦合层。这就好比流水一般,积少成多,细水长流,所以这样的一个流程成为一个"流(flow)"。也就是说,一个 flow 是多个加性耦合层的耦合。 由链式法则: 
因为"矩阵的乘积的行列式等于矩阵的行列式的乘积",而每一层都是加性耦合层,因此每一层的行列式为 1,所以结果就是: 
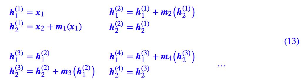
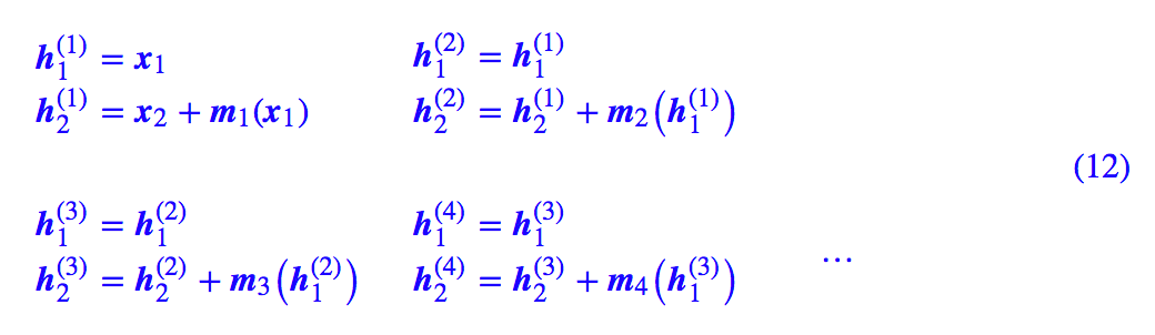
考虑到下面的错位,行列式可能变为 -1,但绝对值依然为 1,所以我们依然不用考虑行列式。 交错中前进 要注意,如果耦合的顺序一直保持不变,即: 
那么最后还是 z1=x1,第一部分依然是平凡的,如下图: 
▲ 简单的耦合使得其中一部分仍然保持恒等,信息没有充分混合 为了得到不平凡的变换,我们可以考虑在每次进行加性耦合前,打乱或反转输入的各个维度的顺序,或者简单地直接交换这两部分的位置,使得信息可以充分混合,比如: 
如下图: 
▲ 通过交叉耦合,充分混合信息,达到更强的非线性 尺度变换层 在文章的前半部分我们已经指出过,flow 是基于可逆变换的,所以当模型训练完成之后,我们同时得到了一个生成模型和一个编码模型。但也正是因为可逆变换,随机变量 z 和输入样本 x 具有同一大小。 当我们指定 z 为高斯分布时,它是遍布整个 D 维空间的,D 也就是输入 x 的尺寸。但虽然 x 具有 D 维,但它未必就真正能遍布整个 D 维空间,比如 MNIST 图像虽然有 784 个像素,但有些像素不管在训练集还是测试集,都一直保持为 0,这说明它远远没有 784 维那么大。 也就是说,flow 这种基于可逆变换的模型,天生就存在比较严重的维度浪费问题:输入数据明明都不是 D 维流形,但却要编码为一个 D 维流形,这可行吗? 为了解决这个情况,NICE 引入了一个尺度变换层,它对最后编码出来的每个维度的特征都做了个尺度变换,也就是 这样的形式,其中 s=(s1,s2,…,sD) 也是一个要优化的参数向量(各个元素非负)。这个 s 向量能识别该维度的重要程度(越小越重要,越大说明这个维度越不重要,接近可以忽略),起到压缩流形的作用。 注意这个尺度变换层的雅可比行列式就不再是 1 了,可以算得它的雅可比矩阵为对角阵: 
所以它的行列式为 。于是根据 (6) 式,我们有对数似然: 
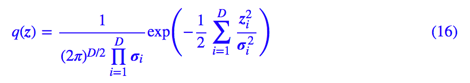
为什么这个尺度变换能识别特征的重要程度呢?其实这个尺度变换层可以换一种更加清晰的方式描述:我们开始设 z 的先验分布为标准正态分布,也就是各个方差都为 1。 事实上,我们可以将先验分布的方差也作为训练参数,这样训练完成后方差有大有小,方差越小,说明该特征的"弥散"越小,如果方差为 0,那么该特征就恒为均值 0,该维度的分布坍缩为一个点,于是这意味着流形减少了一维。 不同于 (4) 式,我们写出带方差的正态分布: 
将流模型 z=f(x) 代入上式,然后取对数,类似 (6) 式,我们得到: 
对比 (15) 式,其实就有 si=1/σi。所以尺度变换层等价于将先验分布的方差(标准差)也作为训练参数,如果方差足够小,我们就可以认为该维度所表示的流形坍缩为一个点,从而总体流形的维度减 1,暗含了降维的可能。 特征解耦 当我们将先验分布选为各分量独立的高斯分布时,除了采样上的方便,还能带来什么好处呢? 在 flow 模型中, 是生成模型,可以用来随机生成样本,那么 f 就是编码器。但是不同于普通神经网络中的自编码器"强迫低维重建高维来提取有效信息"的做法,flow 模型是完全可逆的,那么就不存在信息损失的问题,那么这个编码器还有什么价值呢? 这就涉及到了"什么是好的特征"的问题了。在现实生活中,我们经常抽象出一些维度来描述事物,比如"高矮"、"肥瘦"、"美丑"、"贫富"等,这些维度的特点是:"当我们说一个人高时,他不是必然会肥或会瘦,也不是必然会有钱或没钱",也就是说这些特征之间没有多少必然联系,不然这些特征就有冗余了。所以,一个好的特征,理想情况下各个维度之间应该是相互独立的,这样实现了特征的解耦,使得每个维度都有自己独立的含义。 这样,我们就能理解"先验分布为各分量独立的高斯分布"的好处了,由于各分量的独立性,我们有理由说当我们用f对原始特征进行编码时,输出的编码特征 z=f(x) 的各个维度是解耦的。 NICE 的全称 Non-linear Independent Components Estimation,翻译为"非线性独立成分估计",就是这个含义。反过来,由于 z 的每个维度的独立性,理论上我们控制改变单个维度时,就可以看出生成图像是如何随着该维度的改变而改变,从而发现该维度的含义。 类似地,我们也可以对两幅图像的编码进行插值(加权平均),得到过渡自然的生成样本,这些在后面发展起来的 Glow 模型中体现得很充分。不过,我们后面只做了 MNIST 实验,所以本文中就没有特别体现这一点。 实验这里我们用 Keras 重现 NICE 一文中的 MNIST 实验。 模型细节 先来把 NICE 模型的各个部分汇总一下。NICE 模型是 flow 模型的一种,由多个加性耦合层组成,每个加性耦合层如 (7),它的逆是 (9)。在耦合之前,需要反转输入的维度,使得信息充分混合。最后一层需要加个尺度变换层,最后的 loss 是 (15) 式的相反数。 加性耦合层需要将输入分为两部分,NICE 采用交错分区,即下标为偶数的作为第一部分,下标为奇数的作为第二部分,而每个 m(x) 则简单地用多层全连接(5 个隐藏层,每个层 1000 节点,relu 激活)。在 NICE 中一共耦合了 4 个加性耦合层。 参考代码 这里是我用 Keras 实现的参考代码: https://ift.tt/2Ow2TX2 在我的实验中,20 个 epoch 内可以跑到最优,11s 一个 epoch(GTX1070 环境),最终的 loss 约为 -2200。 相比于原论文的实现,这里做了一些改动。对于加性耦合层,我用了 (9) 式作为前向,(7) 式作为其逆向。因为 m(x) 用 relu 激活,我们知道 relu 是非负的,因此两种选择是有点差别的。因为正向是编码器,而逆向是生成器,选用 (7) 式作为逆向,那么生成模型更倾向于生成正数,这跟我们要生成的图像是吻合的,因为我们需要生成的是像素值为 0~1 的图像。 
▲ NICE模型生成的数字样本 退火参数 虽然我们最终希望从标准正态分布中采样随机数来生成样本,但实际上对于训练好的模型,理想的采样方差并不一定是 1,而是在 1 上下波动,一般比 1 稍小。最终采样的正态分布的标准差,我们称之为退火参数。比如上面的参考实现中,我们的退火参数选为 0.8,目测在这时候生成模型的质量最优。 总结NICE 的模型还是比较庞大的,按照上述模型,模型的参数量约为 ,也就是两千万的参数只为训练一个 MNIST 生成模型,也是夸张。 NICE 整体还是比较简单粗暴的,首先加性耦合本身比较简单,其次模型 m 部分只是简单地用到了庞大的全连接层,还没有结合卷积等玩法,因此探索空间还有很大,Real NVP 和 Glow 就是它们的两个改进版本,它们的故事我们后面再谈。 ]]> 原文: https://ift.tt/2w6C83K |
没有评论:
发表评论